Views: 0 Author: Site Editor Publish Time: 2026-01-07 Origin: Site
What are the Marine Rubber Fenders Determination of influence factors
Since the influence factors affect the performance of rubber fenders, the rubber fenders should be selected considering these factors. At the time of selection, the performance value is multiplied by the influence factors to reduce the standard energy absorption EA in the catalogue to the minimum value EA - so that the effective berthing energy Eb satisfies the relationship given in equation.
EA - ≧ Eb
For the reaction force, the product of the standard reaction force R in the catalogue and the influence factor must be R+ to satisfy both conditions specified in equation

The suffix + indicates the maximum value, and -indicates the minimum value.
When it is certain that the ship will contact several rubber fenders, the total energy absorption of the fenders may be considered as EA. However, it is necessary to determine the minimum value EA - of the sum of the respective energy absorptions and the maximum value R + of the sum of reaction forces to determine the curvature radius of the vessel hull at the berthing point and the spacing (installation pitch) between fenders.
1)Calculation of design energy absorption: EA-
The minimum value EA-of the design energy absorption is determined using equation
![]()
where

For angular berthing, geometric checks are also required; for instance, the end of the fender panel must not touch the quay during the absorption of berthing energy.
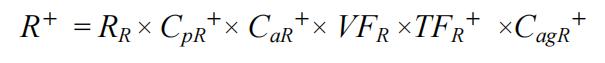
2)Calculation of design reaction force: R+
The maximum design reaction force R + considering the influence factor of design condition can be obtained using equation.
![]()
Here,

3)Calculation of design factors for mooring analysis
In the motion calculation of the moored vessel, it is necessary to express the performance of rubber fenders as accurately as possible. The compression (loading) performance RF1 and the return (unloading) performance RF2 are different, resulting in energy loss. This loss is known as the hysteresis loss, and a considerable amount of this energy is converted to heat. Assuming that this hysteresis loss is expressed , let R (ε) be an approximate function of the reaction force by the deflection, which is expressed by a regression equation or numerical table. The maximum and minimum factors can be calculated using equations.
Loading and unloading performance of rubber fender

Here:


The expressions in equations are used as the performance functions of rubber fenders for the mooring simulation of vessels. The angle coefficient CaR, velocity coefficient VFR, and repetition factor CrR are difficult to take into consideration when performing the simulation because the angle and speed change constantly, and repetition fatigue accumulates. As a countermeasure, the coefficients may be substituted by performing the calculation using only the maximum and minimum values of the performance. Furthermore, a complex behaviour is exhibited in which the velocity changes in the middle of compression, and this phenomenon cannot be reproduced without employing a method such as a hybrid simulation . However, approximations can be made in which the upper and lower connections are established using linear spring constants of the initial deflection. In the design of fenders, the generated reaction force when the maximum factors are adopted is the design load to the structure, and the maximum deflection when the analysis is performed using the lower limit of each factor is the allowable design deflection. In the simulation, the specifications of the rubber fender are determined by trial and error to be within the design limits.
4)Consideration of number and length of fenders
The performance of a rubber fender with a fender panel can be modified by attaching multiple fenders to one panel. However, if two rubber fenders are attached to one panel, although the energy absorption EA will be doubled, the reaction force R will also be doubled. Furthermore, the performance of the rubber fender is related to the size; when the size is doubled, the reaction force becomes 2 2 = 4 times, and the energy absorption becomes 2 3 = 8 times. In other words, if one rubber fender having a size (height) of approximately 1.26 times is attached, the reaction force can be suppressed to 1.6 times while realizing two times the energy absorption. Therefore, no restrictions exist, such as in terms of the installation space of the quay or maximum height, and the efficiency of energy absorption (EA /R) is the maximum when using a single fender. However, when a large panel is required, several fenders may be used to ensure the stability of the system. Considering the length, an adjustable
type fender can also help modify the performance by increasing the length instead of changing the height. As described above, although various responses are possible depending on the application, when the length is less than the height, the compression mode may change due to the influence of both ends. In addition, it should be noted that the influence of the angle increases with increase in the installation pitch.

Performance comparison of single and multiple fenders for fender panels
When upgrading existing facilities or dealing with larger vessels, the restriction of rubber fender height to the overhang of loading cranes, compatibility of size and pitch of fixing bolts, etc. are also important considerations.
If you want to know more details, please feel free to contact us at any times.